As promised, Irix has introduced two new full-frame lenses for Sony E mirrorless cameras – 15mm f/2.4 and 150mm f/2.8 macro 1:1 . The lenses feature a rugged magnesium-aluminum alloy construction combined with composite material and a dust- and splash-resistant housing. The aperture ring is equipped with a “Click/Declick” switch for taking photos or videos. Retail price is €675 for the Irix 15mm and €695 for the Irix 150mm.

Irix 15mm f/2.4 and 150mm f/2.8 macro 1:1
The lenses are manual, they do not have an autofocus drive, although the company does not explicitly mention this fact in its press releases and presentations, which may mislead some users.
It must be admitted that manual focusing is written on the website in a table with technical characteristics. Although, for example, for subject shooting with a 150mm f / 2.8 macro 1: 1 lens, this fact is not so important, since manual focus is most often used.
The Irix 15mm f/2.4 lens for Sony E is designed primarily for landscape and architecture photography, as well as for astrophotography.
Main characteristics of Irix 15 mm:
- Image quality across the frame, including corners
- Sony E mount, full frame
- Front filter mount
- Aperture: f/2.4 – f/22
- Distortion: no more than 2%
- Viewing angle: 110°
- Minimum focusing distance: 25cm
- 9 aperture blades
- Two modes of aperture ring “Click/Declick”
- Optical design: 15 elements in 11 groups
- Full communication of the lens with the camera (the ability to use semi-automatic modes)
- Precise lockable focus ring
- Filter Thread Diameter: 95mm
- Dimensions: Ø102 x 135 mm
- Weight: 662 g
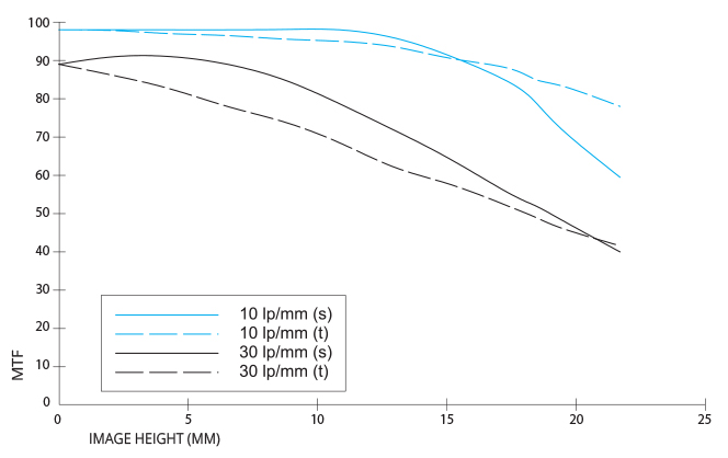
MTF Chart
Distortion diagram
Irix 150mm macro 1:1 lens for Sony, as the name suggests. Designed primarily for subject and macro photography, it allows you to capture the smallest details with high sharpness.
Main characteristics of Irix 150 mm:
- Sony E mount, full frame
- Aperture: f/2.8 – f/32
- Scale: 1:1, viewing angle: 16°
- Unique bokeh effect
- All-weather design
- Full communication of the lens with the camera (the ability to use semi-automatic modes)
- Two modes of aperture ring “Click/Declick”
- Arca Swiss tripod mount included
- Zero Distortion: 0.1%
- 11 aperture blades
- Optical design: 12 elements in 9 groups
- Focus distance: 0.345 m – infinity
- Filter Thread Diameter: 77mm
- Dimensions: Ø87 x 170 mm
- Weight: 900 g
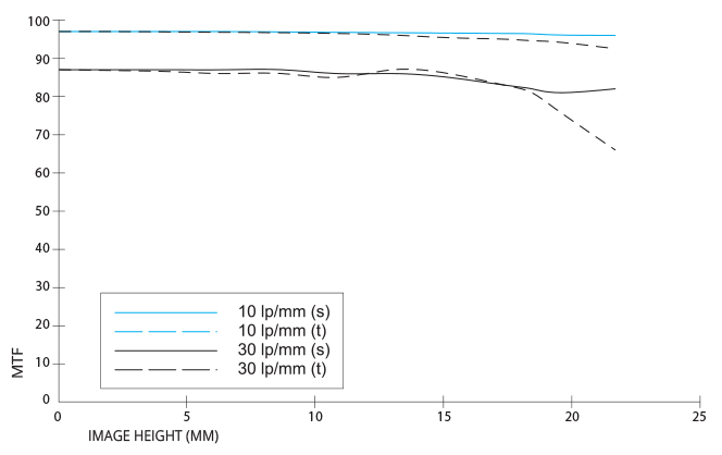
MTF Chart
Distortion diagram
Once again, Irix marketers have become addicted to filming, and instead of useful information about lenses, viewers will receive a set of beautiful shots, possibly taken with the help of the presented optics.






